Выданные гарантии под обязательства других организаций. Решение о применении МСФО (IFRS) 9 |
Комитетом по разъяснениям МСФО был принят без существенных изменений текст решения. Напомним, что в сентябре 2024 года Комитет по разъяснениям МСФО опубликовал проект этого решения и открыл дискуссию, а Совет по МСФО в это же время начал обсуждение различий в практике интерпретации понятия «долговые инструменты» из определения финансовой гарантии.
Вопрос, заданный Комитету, касался договорных гарантий по обязательствам совместного предприятия. Были приведены ситуации, в которых организация гарантирует осуществление платежей банку, клиенту или другой третьей стороне в случаях, когда совместное предприятие не выполнит свои договорные обязательства по договорам оказания услуг или соглашениям о партнерстве и не произведет платежи в установленный срок.
Вопрос: являются ли выданные гарантии договорами финансовой гарантии, подлежащими учету в соответствии с МСФО (IFRS) 9 «Финансовые инструменты», и, если нет, какие другие МСФО применяются к этим гарантиям?
Анализ, подготовленный Комитетом, показал, что на практике организации предоставляют гарантии по обязательствам как своих совместных предприятий, так и других организаций (в том числе ассоциированных или дочерних организаций, третьих сторон), и эти гарантии включают различные положения и условия. Вопросы, связанные с учетом выданных гарантий, возникают в отношении как отдельной, так и консолидированной финансовой отчетности.
Гарантии выдаются в разной форме и могут устанавливать разные права и обязательства для их участников. Нет точного определения понятия «гарантия» в МСФО и нет единого стандарта по учету гарантий.
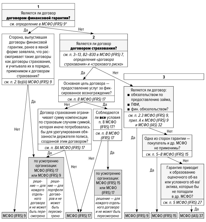
Порядок анализа выданных гарантий
0. Анализ условий гарантии
Выбор учета по МСФО должен исходить из требований стандартов, а не основываться на характере деятельности организации. При этом нужно применить профессиональное суждение с учетом всех явных или подразумеваемых положений и условий гарантии, за исключением случаев, когда эти положения и условия по существу не имеют значения.
1. Является ли гарантия договором финансовой гарантии?
См. определение в МСФО (IFRS) 9 (при применении определения нужно учитывать, что используемый в нем термин «долговой инструмент» на практике может интерпретироваться по-разному).
Если «да» — то:
-
либо МСФО (IFRS) 9,
-
либо, если сторона, выпустившая договоры финансовой гарантии, ранее в явной форме заявляла, что рассматривает такие договоры как договоры страхования, и учитывала их в порядке, применимом к договорам страхования (п. 2.1(e)(iii) МСФО (IFRS) 9), то по усмотрению организации: МСФО (IFRS) 17 или МСФО (IFRS) 9 (решение — для каждого отдельного договора и не может быть пересмотрено).
2. Является ли гарантия договором страхования?
Если не договор финансовой гарантии — то нужно провести анализ п. 3–13, B2–B30 в МСФО (IFRS) 17, определений «договора страхования» и «страхового риска».
Если гарантия — договор страхования, то есть ли у него такие признаки, как:
-
Основная цель договора — предоставление услуг за фиксированное вознаграждение и при этом соблюдаются все условия из п. 8 МСФО (IFRS) 17. Если «Да» — то по усмотрению организации МСФО (IFRS) 15 или МСФО (IFRS) 17 (решение — для каждого отдельного договора и не может быть пересмотрено).
-
Договор страхования ограничивает сумму компенсации по страховым случаям суммой, которая иначе потребовалась бы для урегулирования обязанности держателя полиса, созданной этим договором? Если «Да» — то по усмотрению организации МСФО (IFRS) 17 или МСФО (IFRS) 9 (решение — для портфеля договоров и не может быть пересмотрено).
3. Рассмотреть иные МСФО, которые могут быть применимы
Если не договор финансовой гарантии и не договор страхования — то нужно провести анализ других стандартов:
-
Обязательства по предоставлению займа (п. 2.3 МСФО (IFRS) 9)
-
Производного инструмента (см. приложение А к МСФО (IFRS) 9)
-
Как иным образом отвечающая определению финансового обязательства в МСФО (IAS) 32.
-
МСФО (IFRS) 15 — если стороной по гарантии является покупатель, а гарантия не подпадает под действие других МСФО, может применяться МСФО (IFRS) 15 (см. п. 5–8 МСФО (IFRS) 15).
-
МСФО (IAS) 37 — применяется только в том случае, если гарантия приводит к возникновению оценочного обязательства, условного обязательства или условного актива, которые не подпадают под действие других МСФО (см. п. 5 МСФО (IAS) 37).
Вывод:
Учет гарантий основан на требованиях стандартов, включая их сферу применения, и не зависит от деятельности организации.
Организации используют суждение для определения применимого стандарта с учетом фактов и обстоятельств.
Организации применяют суждения в интерпретации понятия «долговые инструменты», когда определяют, является ли договор финансовой гарантией.
Подробную схему анализа выданных гарантий смотрите на рисунке.
* При толковании термина «долговой инструмент» в определении договора финансовой гарантии применяется суждение.
** Указание МСФО (IFRS) 9 в данной строке подразумевает также применение МСФО (IAS) 32, МСФО (IFRS) 7.
Наталья ОРЛОВСКАЯ
<...>
Войдите в систему или зарегистрируйтесь


